เราใช้คุ๊กกี้บนเว็บไซต์ของเรา กรุณาอ่านและยอมรับ นโยบายความเป็นส่วนตัว เพื่อใช้บริการเว็บไซต์ ไม่ยอมรับ
Data มหาสนุกleafsway T.
คนอ้วนลืมง่าย หรือ เพราะลืมง่ายจึงอ้วน?
  • หลายๆ คนคงกันอยู่แล้วว่าการมีน้ำหนักเกินหรืออ้วนนั้นไม่ดีอย่างไร
    แน่นอน..โดยส่วนใหญ่เป็นเรื่องของสุขภาพและโรคภัยไข้เจ็บ
    แต่คราวนี้มีงานวิจัยชิ้นใหม่ที่ทำเอาคนอ้วน (แบบผม) ต้องสะดุ้งโหยง!
    เพราะเค้าบอกว่า

    "Overweight people have worse memories for times, places and specific emotions they have experienced"

    หรือแปลง่ายๆ ก็คือ

    "คนที่มีน้ำหนักตัวมากเกินจะมีความจำที่ไม่ดีนักเกี่ยวกับเวลา สถานที่ และอารมณ์ที่พวกเขาได้ประสบ"

    โดยนักวิจัยค้นพบว่าคนที่มีค่า BMI หรือดัชนีมวลกายสูง จะมี "ความจำอาศัยเหตุการณ์" หรือ "episodic Memory" ที่แย่ (อธิบาย : episodic memory เป็นความจำส่วนที่ใช้จำเหตุการณ์ต่างๆ ในชีวิตตัวเองนั่นเอง wikipedia )

    แล้วเค้าทดลองอย่างไร?
    ในการทดลองนั้นเค้าทำคนมา 50 คน โดยมีค่า BMI ตั้งแต่  18 จนถึง 51
    โดยที่ทั่วไปแล้วนั้นคนที่มีค่า BMI ระหว่าง 18-25 นั้นถือว่าน้ำหนักปกติ ,25-30 นั้นเรียกว่าน้ำหนักเกิน และถ้าค่า BMI มากกว่า 30 เราเรียกว่าอ้วน

     
  •                                                   www.healthyandnaturalworld.com

    ซึ่งนักวิจัยพบว่าคนที่มีค่า BMI สูงขึ้นนั้น ส่งผลกระทบต่อประสิทธิภาพของความจำ
    โดยเค้าบอกว่าการทดลองนี้ไม่ได้หมายความว่าอ้วนแล้วจะขี้ลืมกว่า เพียงแต่มันส่งผลกระทบความจำในชีวิตประจำวัน ทำให้คนที่มี BMI สูงจะจดจำรายละเอียดเหตุการณ์ที่เกิดขึ้นได้น้อยกว่า

    และนั่นอาจหมายถึงว่ามันส่งผลกระทบต่อหน่วยความจำที่ช่วยในการควบคุมการกินด้วย หรือพูดอีกนัยหนึ่งก็คือคนที่มีน้ำหนักมากเกินไปนั้นยากที่จะใช้สมองติดตามว่ากินอะไรไปเท่าไหร่ ทำให้กินมากเกินไปนั่นเอง คือมันหมายถึงว่าเป็นปฏิกิริยาทางสมองในส่วนที่ควบคุมการอยากอาหารและพฤติกรรมการกิน โดยมาสั่งการให้กินแล้วก็ยังอยากกินอีกซึ่งเป็นคนละเรื่องกับการลืมว่ากินไปแล้วและกินอีก (คือพออ้วนแล้วเราจะควบคุมการแดร๊กไม่ค่อยจะได้ อ้วนแล้วเราจะแดร๊ก พอเรายิ่งแดร๊กมันก็ยิ่งอ้วน สลับกันไปเป็นวงจรอุบาทว์ สินะะะ) 

    แต่ทีมนักวิจัยเค้าก็บอกว่าเมื่อรู้แบบนี้แล้ว ไม่ใช่แค่เราเข้าใจสาเหตุของการอ้วนมากขึ้น แต่มันหมายถึงเราอาจจะสร้างวิธีการใหม่ๆ เพื่อป้องกันหรือรักษาโรคอ้วนได้อีกด้วย (ความหวังใหม่ของเราเหล่าชาว One-Pack!!)

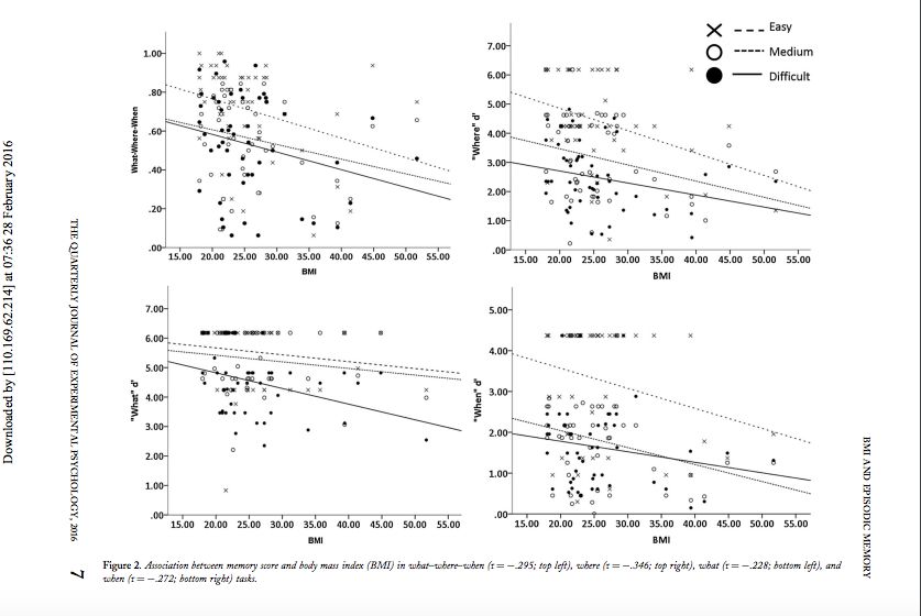
    อันนี้เป็นกราฟผลการทดลอง เอามาให้ดู...
     คือยอมรับตรงนี้เลยว่าดูไม่รู้เรื่อง ใครสนใจอ่าน Paper ฉบับเต็มก็เชิญนะฮะ : http://www.tandfonline.com

    พออ่านข่าวนี้จบก็ใจชื้น เพราะนี่คิดมาตลอดว่าไอการอ้วนที่เป็นอยู่เกิดจากพฤติกรรมการกินล้วนๆ พอรู้แบบนี้แล้วก็ใจชื้น เอาไปอ้างกับเพื่อนได้ว่ามันเป็นเรื่องเกี่ยวกับสมองด้วยเว้ยยย คงจะรักษายากหวะ เพราะงั้นขอกินจัดเต็มเหมือนเดิมต่อไปละกัน...

    มันใช่เรอะ!!!

    ที่มา : www.spring.org.uk
Views

เข้าสู่ระบบเพื่อแสดงความคิดเห็น

Log in